搜索查询
表面活性剂的表面张力的测定:平板法、镫形物/环状物法
- 分类:技术文章
- 发布时间:2025-11-28
- 访问量:421
表面活性剂的表面张力的测定:平板法、镫形物/环状物法
- 分类:技术文章
- 发布时间:2025-11-28
表面活性剂的表面张力的测定:平板法、镫形物/环状物法
01实验原理
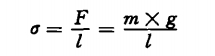
测量与液体垂直接触且被wan全润湿的平板的表面张力F(静态法)或者测量将一个水平悬挂的镫形物或者环状物拉出液体表面所需的表面张力F(类静态法),表面张力 σ 通过相应的公式计算即可得到。

F:作用于平板,镫形物或环状物上的力,单位为牛(N);
m:被平板,镫形物或环状物拉起的液体的质量,单位为克(g);
g:重力加速度,981 cm/s²;
l:平板、镫形物或者环状物外围润湿部分,具体是平板长度的两倍加上厚度的两倍,或者是镫形物中的测量线长度的两倍,或者是环状物的平均周长的两倍,单位为厘米(cm)。
02仪器准备
1、准备铂金环或铂金板
平板:通常称之为“铂金板”
由铂片或者铂/铱片制成,大约20mm长,0.2 mm 厚,10mm高而且表面宜粗糙。

镫形物/环状物:通常称之为“铂金环”
环状物由铂线或者铂/铱线制成,厚度不大于0.4mm,平均周长为60mm,环状物必须水平悬挂在与张力计相连的金属棒上。

2、测量仪器:表面张力仪
表面张力仪是一种专业用于测量液体表面张力值的测定仪器,通过铂金板法、铂金环法、zui大气泡法、悬滴法、滴体积法以及滴重法等原理,可以准确测定液体的表面张力值。

注意:玻璃容器需要用异丙醇或丙酮清洗,再用二次蒸馏水润洗并烘干。铂金板或者铂金环表面的污染物可以用硫酸和盐酸的混合溶液清洗,清洗应避免铂金板或铂金环变形。
03测试准备
仪器校正
①、水平校正:表面张力仪静置 1-2 小时后,观察表面张力仪背面的水平校准水泡是否在中间。如果没有符合要求,则说明没有水平。校准方法:转动表面张力仪的水平调节旋钮,直到水泡位于水平仪中间。
②、天平校正:使用前,对张力仪进行天平校正。
样品制备
用二次蒸馏水来制备水溶液。
表面活性剂对污染非常敏感,如空气中的灰尘或溶剂蒸汽。因此在测量房间内不要使用易挥发的溶剂,用一个钟形的盖子来保护仪器,使仪器保持在一个相对恒定的温度下。
04测试过程
原则:在相同条件下连续多次测量以检查方法的重复性。
铂金板法:
① 安好支架,支架靠近内侧,但不可直接靠在样品台与主机的连接杆上。
② 设置参数:点击“参数设置”设置“上升速度”“下降速度”,速度尽量慢。
③ 清洗烧杯,并用待测液体浸润:用蒸馏水清洗烧杯,然后用少许待测活性剂样品浸润烧杯,并倒掉。
④ 下降样品台,放待测液体:点击“铂金板法”,“平台下降”,平台下降到zui低,自动停止,将乙醇倒入浸润后的烧杯中,将装有待测活性剂溶液的烧杯放在样品台中。
⑤ 灼烧铂金板,并安装清零:点燃酒精灯,取出铂金板连接(注意铂金板与支架为直角,确定铂金板底部为水平)并用镊子夹住,用酒精灯灼烧至铂金板通红,一般火与水平面呈 45°角度进行,轻轻挂在支架挂钩上,按天平上的 “TARE”键清零,按触摸屏上的“清零”,静置放凉,铂金板无晃动。
⑥ 铂金板法,开始测量:在 “铂金板法”界面下,点击“测试”样品台开始上升,仪器自动停止(下图中铂金板位于“3”的状态,平台停止),平台停止后,点击“平台下降”,平台下降过程的峰值张力为所测表面张力值(整个过程,要求速度慢)。

⑦ 继续实验,重复操作⑥,直至数据基本稳定(通常情况下,取本轮实验的第三、第四、第五次实验数据为准,计算平均值。
⑧ 做重复实验,确认测试数据的可重复性。
铂金环法:
① 安好支架,支架靠近内侧,但不可直接靠在样品台与主机的连接杆上。
② 设置参数:点击“参数设置”设置“上升速度”“下降速度”,由于铂金环法,测试样品台下降时,产生液膜时张力,因此,下降速度尽量的慢。
③ 清洗烧杯,并用待测液体浸润:用蒸馏水清洗烧杯,然后用少许待测活性剂溶液浸润烧杯,并倒掉。
④ 下降样品台,放待测液体:点击“铂金环法”,“平台下降”,平台下降到zui低,自动停止,将待测表面活性剂溶液倒入浸润后的烧杯中,将装有待测溶液的烧杯放在样品台中。
⑤ 灼烧铂金环,并安装清零:点燃酒精灯,轻轻取出铂金环(注意铂金环为圆形,不要变形)并用镊子夹住,用酒精灯灼烧 20-30 秒,至铂金环通红,轻轻挂在支架挂钩上,按天平上的“TARE”键清零,按触摸屏上的“清零”。静置放凉,至铂金环无晃动。
⑥ 上升样品台:按触摸屏上的“平台上升”,至铂金环没入待测溶液中 3-5mm 后,再按触摸屏上的“平台停止”。
⑦ 铂金环法,开始测量:在 “铂金环法”界面下,点击“测试”样品台开始下降,并采集数据,当数据采集结束后,仪器并自动停止,此时峰值张力为该表面张力值。

铂金环与待测液面的状态变化图
⑧ 继续实验,直接上升平台,重复操作⑥⑦,直至数据基本稳定,通常情况下,取本轮实验的第三、第四、第五次实验数据为准,计算平均值。
⑨ 做重复实验,验证数据可重复性。
记录导出实验报告
参考标准
GB/T 22237-2008表面活性剂 表面张力的测定
05铂金环铂金板法和铂金环法的比较
1.铂金板法可测量液体表面(或界面)张力随时间的变化:铂金板法测量时是一直接触待测液体的,只要液体的表面张力发生变化,测试值就会有变化,如果选用数据处理软件还可观测的表面张力随时间的变化曲线。
2.可方便地测量中高粘度液体的表面张力:铂金环法测试时需要铂金环向上提升,在此过程中除了表面张力的作用外还有粘力作用。
3.测试精度高:铂金板不易变形,铂金环容易变形。环的不规则圆、不平整会影响表面张力的测试精度。
06全自动表界面张力测试仪

全自动表界面张力测试仪采用称重法,配备精密电磁力平衡力传感器。精度优异,重复精度高。兼具全量程自动校正和砝码校正。样品台自动升降(上升、下降速度等速可调1-300mm/min ),一件去皮。环境温度自动补偿。5寸触摸屏当前张力,峰值张力,等效张力等信息一体化显示,操作简便,性价比高、拓展性强、功能强大、可满足各种常规测量需求,选装配件丰富,被高校院所及企业广泛使用。
适用标准:
GB/T6541-86石油产品油对水界面张力测定法
ISO1409-1995塑料、橡胶、聚合物分散体和乳胶表面张力的测定
GB/T22237-2008表面活性剂表面张力的测定
SH/T1156-95合成乳胶表面张力测定法
ISO6295-1983石油产品、矿物油、油对水界面张力的测定
JB/T18396-2001天然乳胶环法测定表面张力
GB/T5549(ISO 304-1985)用拉起膜法测定表面张力
相关新闻
-
- Tel:01-87681080
-
关注我们
CopyRight © 2025北京品智创思精密仪器有限公司 All Rights Reserved.